20250603_1843_모던한 라이브이슈KR 로고_simple_compose_01jwtjnbhnfrmr2ew2618jjkdz

2026 수능 수학 문제 공개 경로와 다운로드 가이드, 난이도 분석까지 한 번에 정리합니다 🧮

라이브이슈KR | 교육 취재

2026학년도 수능 안내 이미지
이미지 출처: 교육부 공식 블로그

한국교육과정평가원(KICE)매 교시 종료 후 문제지(PDF)와 정답을 순차 탑재하며, 수험생과 교사는 공식 페이지에서 2026 수능 수학 문제 원문을 바로 확인하고 내려받을 수 있습니다.

공식 다운로드 경로cdn.kice.re.kr/suneung-26이며, 안내에 따라 영역별 파일을 선택하면 됩니다.


홀수형·짝수형 구분은 문제지 표지의 코드와 문항 배열로 확인할 수 있으며, 자체채점 시 반드시 본인이 응시한 책형에 맞추어 정답지를 대조해야 오류를 줄일 수 있습니다.

특히 책형 혼동은 오채점의 가장 흔한 원인이므로, 채점 전 첫 줄에 책형·선택과목을 메모해 두는 습관이 도움이 됩니다.

수능 수학 문제 풀이 예시 이미지
이미지 출처: 네이버 블로그(어수강 박사의 수학 노트)

2026학년도 수능 수학은 기존과 같이 공통 영역선택 과목(미적분·확률과통계·기하) 체제로 운영되며, 시험 시간은 통상 100분으로 구성됩니다.

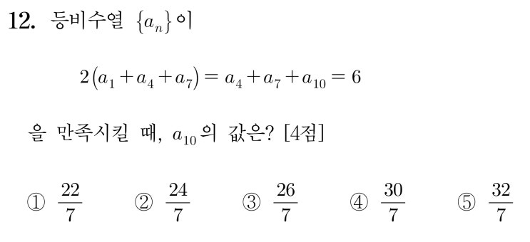
출제기관은 최근 기조에 따라 교육과정 범위 내에서 과도한 고난도·킬러 문항을 지양하고 핵심 개념 중심의 변별을 목표로 했다고 밝히고 있습니다.

교육계 안팎에서는 세트 문항 지양과 문항 간 과도한 연계 축소 등 공정성 제고 방향이 강조되었다는 평가가 나오며, 이에 따라 문항 독립성풀이 접근성에 주목하는 분석이 이어지고 있습니다.

공통 영역에서는 함수의 성질, 수열의 점화·귀납, 미분·적분의 개념 적용에서 계산과 개념 이해를 함께 요구하는 문제가 주로 변별을 형성하는 경향이 있습니다.

선택 과목의 경우, 미적분은 극값·최적화와 정적분 응용, 확률과통계는 경우의 수 모델링과 조건부확률, 기하는 벡터·평면곡선의 성질에서 개념-계산-논리 전개의 균형이 중요합니다.

핵심 요약: 2026 수능 수학 문제는 공통 개념의 정확성과 선택 과목의 특성을 동시에 점검하며, 복합 사고를 요하는 문항이 중후반 번호대에서 변별력을 가지는 경향이 있습니다 🔍

현장 교사·강사들은 중난도 상승 구간으로 중반부 일부 문항과 후반부 변별 문항을 지목하며, 풀이 실수와 시간 관리가 체감 난도를 끌어올린 요인이라고 분석하고 있습니다.

자체채점은 KICE 정답 발표 이후 진행하는 것을 권하며, 선택 과목별 배점과 문항 유형을 먼저 확인한 뒤 오류 가능 문항이 있는지 공지사항을 체크하는 것이 안전합니다.

수능 답지 안내 이미지
이미지 출처: 네이버 블로그(한양학원)

문제·정답 이의신청은 평가원 공지에 따르며, 관련 일정·서식은 정책브리핑KICE 안내에서 확인할 수 있습니다.

등급컷사교육기관 추정치가 먼저 공유되는 경우가 많으나, 기관 간 편차가 존재하므로 메가스터디 풀서비스·진학사·EBS 등 복수 출처를 교차 확인하는 것이 바람직합니다.

정시 지원 전략 수립 시에는 표준점수·백분위·등급의 해석 차이를 이해하고, 대학·모집단위별 수학 반영 비율과 가산점, 탐구 반영 방식까지 함께 검토해야 실수를 줄일 수 있습니다.


문제지 PDF는 모바일보다 PC에서 저장·인쇄한 뒤 오답 표시시간 기록을 병행하면 학습 효율이 높아지며, 해설은 출처가 명확한 자료를 골라 개념 복기 중심으로 정리하는 것이 좋습니다.

온라인 커뮤니티에서는 수학 1번 문제 화제성 게시물이 확산되었으나, 입시 실전에서는 초반 체감 난도에 흔들리지 않는 루틴검산·마킹 안전장치가 무엇보다 중요합니다 ✅

바로가기 🔗: KICE 2026학년도 수능 문제·정답 | 메가스터디 풀서비스 | 교육부 출제 방향 안내

본 기사는 공개된 공식 자료와 교육계 분석을 바탕으로 2026 수능 수학 문제의 확인·채점·활용 방법을 정리했습니다.